EHA中国之声丨卢岳教授团队:不同剂量ATG-T和ATLG在ALL患者以TBI/MAC为预处理方案的单倍体造血干细胞移植中的比较

血液时讯 发表时间:2025/6/13 19:58:31

汇聚全球精英,引领血液新潮。第30届欧洲血液学会年会(EHA 2025)于6月12日至15日在意大利·米兰盛大召开。作为全球血液学领域的顶尖学术盛会之一,本届大会全面聚焦血液学及其各亚专科的最新进展,深入探讨循证诊疗新方法,发布临床与转化研究的重磅成果,呈现创新技术、精准诊断工具与风险评估策略的最新突破。在本届大会上,河北燕达陆道培医院卢岳教授团队的研究成果入选壁报展示,探讨了不同剂量兔抗胸腺细胞球蛋白(ATG-T)和抗T淋巴细胞球蛋白(ATLG)在急性淋巴细胞白血病患者以TBI/MAC为预处理方案的单倍体造血干细胞移植中的比较,为优化GVHD预防策略、提升移植疗效提供了重要临床依据。《肿瘤瞭望-血液时讯》特邀卢岳教授分享该研究成果。

 

 

摘要号:PF392

标题:COMPARISON OF DIFFERENT DOSES OF RABBIT ANTI-THYMOCYTE GLOBULIN (ATG-T) AND ANTI-T-LYMPHOCYTE GLOBULIN (ATLG) IN TBI-BASED MYELOABLATIVE CONDITIONING FOR HAPLOIDENTICAL TRANSPLANTATION IN ACUTE LYMPHOBLASTIC LEUKEMIA PATIENTS

中文标题:不同剂量兔抗胸腺细胞球蛋白(ATG-T)和抗T淋巴细胞球蛋白(ATLG)在急性淋巴细胞白血病患者以TBI/MAC预处理方案的单倍体造血干细胞移植中的比较

作者:卢岳,熊敏,赵艳丽,刘德琰,张建平,曹星玉,魏志杰,孙瑞娟,周葭蕤

单位:河北燕达陆道培医院

 

研究背景

 

兔抗胸腺细胞球蛋白(ATG-T,赛诺菲,巴黎,法国)和抗T淋巴细胞球蛋白(ATLG,Grafalon,Neovii Biotech GmbH,Grafelfing,德国)被广泛用于单倍体造血干细胞移植(HID-HSCT)的移植物抗宿主病(GVHD)预防。然而,关于其有效性和安全性的比较数据,特别是在基于全身照射(TBI)的清髓预处理方案(MAC)中仍然很少。本回顾性研究旨在评估不同剂量ATG-T与ATLG在急性淋巴细胞白血病(ALL)患者中,基于TBI/MAC的HID-HSCT感染发生率及生存结局对比。

 

研究方法

 

对2018年1月至2022年12月期间在河北燕达陆道培医院和北京陆道培医院接受首次HID-HSCT,943例完全缓解(CR)ALL患者进行了回顾性分析。所有患者均接受ATG-T或ATLG作为基于TBI的GVHD预防MAC方案的一部分。根据ATG给药情况将患者分为三组:ATLG(20 mg/kg,分4天;n=340),ATG-T(5-6.75 mg/kg,分4天;n=263)和ATG-T(7-8.5 mg/kg,分4天;n=340)。随访日期截止到2024年12月30日。

 

研究结果

 

1、患者的基本特征

 

ALL共943例,其中T-ALL 189例,B-ALL 754例(见图1)。中位年龄为13岁(范围:1-63岁)。尽管728名患者(77.2%)有难治性/复发病史,但在HSCT之前,所有患者都处于形态学完全缓解(CR)状态(其中47.7%移植前接受过CAR-T治疗;11.9%为MRD阳性)。在ATLG、ATG-T(5-6.75 mg/kg)、ATG-T(7-8.5 mg/kg)三个不同分组中,粒细胞植活时间无差异,且中位时间为14天(范围:9-46天 vs. 9-34天 vs. 8-30天;P=0.246),100天血小板植入累积发生率相似[93.8% (95%CI:90.7-96.1) vs. 96.5%(95%CI:93.6-98.4) vs. 95.2%(95%CI:92.4-97.2);P=0.292]。

 

图1. 患者的基本特征


2、GVHD发生率比较

 

ATLG组II-IV级aGVHD的100天累积发生率低于ATG-T(5-6.75 mg/kg)组(18.2% vs .26.2%,P=0.113),但与ATG-T(7-8.5 mg/kg)组相似(18.2% vs .20.2%,P=0.496)。与ATG-T(5-6.75 mg/kg)组相比,ATLG组的100天累积III-IV级aGVHD发生率显著降低(12.6% vs. 18.2%,P=0.056),但与ATG-T(7-8.5 mg/kg)组相似(12.6% vs. 10.8%,P=0.475)。值得注意的是,ATG-T(5-6.75 mg/kg)组的III-IV级aGVHD发生率高于ATG-T(7-8.5 mg/kg)组(18.2% vs. 10.8%,P=0.009)。与ATG-T(7-8.5 mg/kg)组相比,ATLG组cGVHD的5年累积发生率也较低(24.4% vs. 33.8%,P=0.005),而中至重度cGVHD发生率相似[8.8% vs. 12.6%(95% CI:9.3-16.6);P=0.131)]。见图2。

 

图2. GVHD发生率比较

 

3、各种病毒再激活和并发症的比较

 

ATLG组180天CMV病毒血症(52.9% vs. 65.4% vs. 68.5%,P<0.0001)、180天EBV病毒血症(12.0% vs. 23.9% vs. 25.8%,P<0.0001)、360天移植后淋巴细胞增生性疾病(PTLD)(0.59% vs. 4.56% vs. 6.47%,P=0.003)和360天HHV-6再激活(0.59% vs. 4.5% vs. 6.4%,P<0.0001)的发生率明显低于ATG-T(5-6.75 mg/kg)和ATG-T(7-8.5 mg/kg)组,但是在不同剂量ATG-T(5-6.75 mg/kg)和ATG-T(7-8.5 mg/kg)组间并无统计学差异。在360天的出血性膀胱炎、细小病毒再激活、腺病毒再激活或移植相关血栓性微血管病(TA-TMA)发生率方面,三组间无显著统计学差异。见表1。

 

表1. 各种病毒再激活和并发症的比较

 

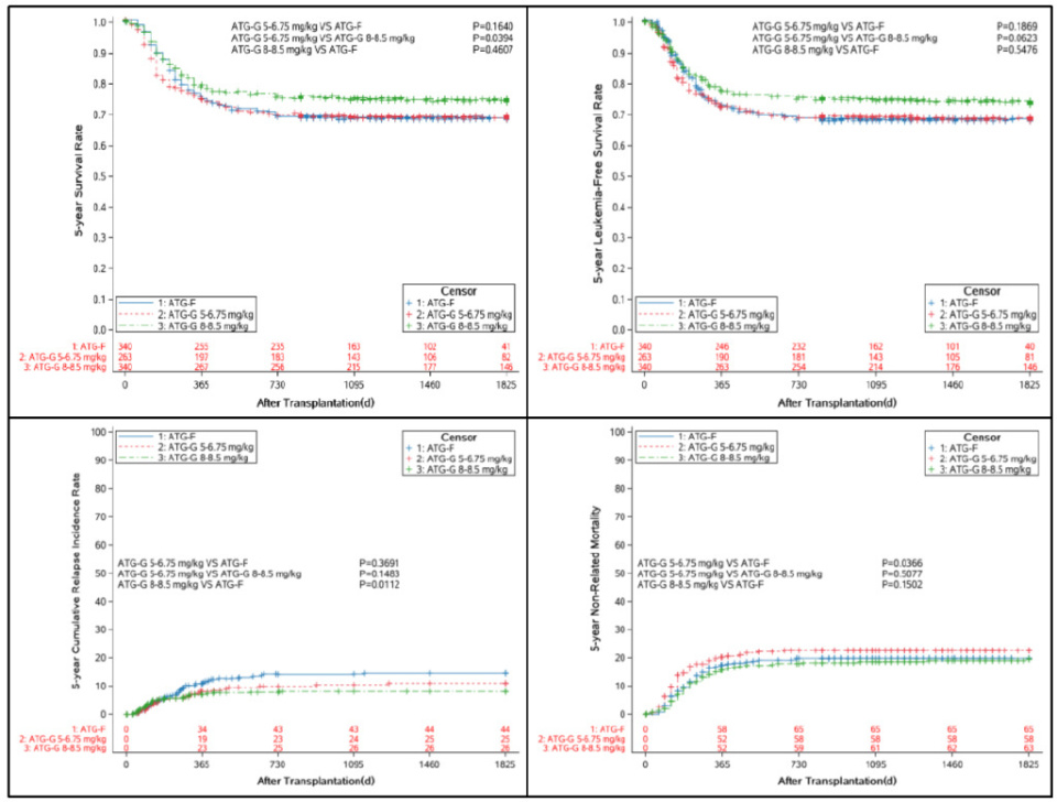
4、生存结局比较

 

随访时间截至2024年12月30日,中位随访时间为52个月(范围:27-83个月)。ATLG组5年总生存率(OS)与ATG-T组(5-6.75 mg/kg)[HR 1.238 (95%CI:0.917-1.671),P=0.164]、ATG-T组(7-8.5mg/kg) [HR 0.895 (95%CI:0.667-1.210),P=0.460]、5年无白血病生存率(LFS)与ATG-T组(5-6.75 mg/kg)[HR 1.222 (95%CI:0.907-1.645),P=0.186]、ATG-T组(7-8.5 mg/kg) [HR 0.914(95%CI:0.683-1.224),P=0.547]比较无显著差异。ATLG组5年累积复发率(CIR)与ATG-T组(5-6.75 mg/kg)相似[HR 0.791(95%CI:0.473-1.320),P=0.369],但显著高于ATG-T组(7-8.5 mg/kg)[HR 0.581(95%CI:0.311-0.861),P=0.011]。ATG-T(5-6.75 mg/kg)组5年非复发死亡率(NRM)显著高于ATLG组[HR 1.482(95%CI:1.025-2.143),P=0.036]。ATG-T(7-8.5 mg/kg)组5年LFS、CIR、NRM与ATG-T(5-6.75 mg/kg)组相当,但5年OS高于ATG-T(95%CI:1.015-2.053) [HR 1.372 (95%CI:1.015-2.053),P=0.0394]。见图3。

 

图3. 生存结局比较

 

Cox逐步回归模型多因素分析生存结局:ATG-G 5-6.75 mg/kg对比ATG-F具有更高的NRM[HR 1.500,95%CI(1.016-2.215),P=0.041],ATG-G(7-8.5 mg/kg)对比ATG-F 具有更低的CIR[HR 0.475,95%CI(0.278-0.813),P=00067](见表2)。

 

影响OS的因素:移植前有髓外病变具有更低的OS[HR 1.503,95%CI(1.125-2.008),P=0.0058],100天之内血小板没有植活有更低的OS[HR4.736,95%CI(3.088-7.264),P<0.001]。

 


影响LFS的因素:移植前MRD阳性具有更低的LFS[HR 1.461,95%CI(1.012 -2.109),P=0.0032];移植前有髓外病变具有更低的LFS[HR 1.501,95%CI(1.128-1.997),P=0.0054];100天之内血小板没有植活有更低的LFS[HR 4.045,95%CI(2.646-6.184),P<0.001]。
 



影响GRFS的因素:移植前HCT-CI为1对比0分有更低的GRFS[HR 1.399,95%CI(1.063-1.759),P=0.0147];移植前CR3对比CR2状态具有更低的GRFS[HR 1.673,95%CI(1.085-2.581),P=0.0198];移植前有髓外病变具有更低的LFS[HR 1.355,95%CI(1.056-1.741),P=0.0171];100天之内血小板没有植活有更低的GRFS[HR 3.217,95%CI(2.156-4.799),P<0.001];供受者关系女-男对比男-男具有更低的GRFS [HR 1.332,95%CI(1.003-1.767),P=0.0473]。
 


增加CIR的危险因素:移植前CR2对比CR1状态具有更高的CIR[HR 2.031,95%CI(1.101-3.680),P=0.0231];移植前MRD阳性比阴性具有更高的CIR[HR 3.897,95%CI(2.212-6.802),P<0.001];供受者关系女-男对比男-男具有更高的CIR[HR 0.382,95%CI(0.178-0.819),P=0.0134]。

 

增加NRM的危险因素:供者年龄>40周岁对比≤18周岁具有更高的NRM[HR 2.105,95%CI(1.004-4.414),P=0.0488];移植前有髓外病变具有更高的NRM[HR1.728,95%CI(1.291-2.450),P=0.0021];供受者关系女-男对比男-男具有更高NRM[HR 1.530,95%CI(1.029-2.275),P=0.0358];100天之内血小板没有植活有更高的NRM[HR 7.140,95%CI(4.480-11.381),P<0.001]。

 

表2. Cox逐步回归模型多因素分析生存结局

 

研究结论

 

我们的研究表明,在为预防GVHD而接受单倍体移植的ALL患者进行基于TBI的MAC治疗的背景下,与ATLG组相比,ATG-T(7-8.5 mg/kg)队列的100天Ⅱ至Ⅳ级和Ⅲ-Ⅳ级aGVHD相似,但与ATG-T(5-6.75 mg/kg)相比,Ⅲ-Ⅳ级aGVHD级别较低,尽管与ATLG组相比,它具有更高的CMV和EBV病毒血症,PTLD发生率和5年CI的cGVHD,但是三组之间的OS和LFS无统计学差异,这些发现为优化ATG剂量以预防HID-HSCT的GVHD提供了有价值的指导,支持为ALL患者提供更个性化的GVHD预防策略。

 

专家简介

 

卢岳 教授

河北燕达陆道培医院

造血干细胞移植科主任(副院长级)

北京血液学分会理事,中华医学会血液学分会造血干细胞移植应用组成员,海峡两岸医药卫生交流协会血液病学专业委员会委员。

2016年10月赴美国西雅图Fred Hutchinson骨髓移植中心进修临床。

截止至2024年底,已经累计完成异基因造血干细胞移植例数1800余例。

在《Frontiers in immunology》《British journal of haematology》《Bone marrow transplantation》《Bilology of Blood Marrow Transplantation》等杂志上发表SCI 10余篇。

版面编辑:张冉   责任编辑:崔沙沙
本内容仅供医学专业人士参考
相关搜索:  淋巴瘤

发表评论

提交评论
  • 相关推荐
  • 学术领域