深度解码丨Blood:基于NGS重新定义T-ALL的危险分层,并区分高危患者亚组

血液时讯 发表时间:2024/8/1 17:54:47

研究概要

T细胞急性淋巴细胞白血病(T-ALL)是一种高侵袭性血液系统恶性肿瘤,占儿童和成人急性淋巴细胞白血病(ALL)的近15%-20%。尽管通过多药联合化疗,T-ALL的治疗效果有所改善,但T-ALL的预后仍然较差,特别是对于复发患者。大约25%的儿童和30%的成人T-ALL患者最终会复发,尽管进行了挽救性化疗,但预后极差,这主要是由于继发性化疗耐药性的获得。 因此,迫切需要改进危险分层,以便将复发风险最高的患者分配到更优治疗策略中,并在首次缓解期进行异基因造血干细胞移植(allo-HSCT)。实现这一目标的一个关键障碍是疾病的分子异质性,这种异质性由紧密相连的致癌事件网络驱动,增加了按照危险分层进行个体化治疗的复杂性。

 

过去的研究报道了在无K-NRAS和PTEN基因突变的情况下,携带NOTCH1和/或FBXW7突变的成人和儿童T-ALL患者预后更佳。高通量下一代测序(NGS)技术的发展使我们能够优化T-ALL的预后预测。本研究对GRAALL-2003/2005方案的198例首次缓解(CR1)的成人T-ALL患者和来自FRALLE2000T的242例儿童T-ALL患者进行了72个T-ALL相关癌基因的靶向全外显子测序,并基于NGS构建首个T-ALL危险分层系统,将低危组患者分类为携带N/F、PHF6或EP300突变,且不含N-K-RAS、PI3K通路(PTEN、PIK3CA和PIK3R1)、TP53、DNMT3A、IDH1/2和IKZF1改变的患者,其5年复发累积发生率(CIR)估计为21%。其余患者被归类为高危组,其5年CIR估计为47%。本研究在儿童队列中验证了这一分层。无论是在成人还是儿童队列中,基于NGS的分类系统都具有良好的预后价值,且独立于微小残留病灶(MRD)和白细胞计数(WBC)。将基于NGS的分层系统纳入综合危险分层模型(包括诊断时的WBC计数和诱导治疗结束时的MRD),临床能够识别出一个不良预后亚组(25%),其5年CIR估计为51%,以及一个良好预后组(32%),其5年CIR估计为12%。基于NGS的分层结合WBC和MRD,能够更精确地划分T-ALL的预后分层,并识别出可能受益于创新治疗方法的患者。

 

研究方案

 

研究纳入了来自GRAALL-2003/2005治疗方案(ClinicalTrial.gov, NCT00222027, NCT00327678)的198名在诱导治疗后达到CR1且可获得诊断性DNA和/或cDNA的患者。并纳入了2000年至2010年间,根据FRALLE2000T指南,在法国治疗的405名中的242名CR1儿童患者作为验证队列。纳入的患者与整个队列在临床结果上无差异。

 

基因突变筛查基于72个与T-ALL相关的基因的所有编码外显子及其相邻的剪接连接区域定制Nextera XT基因捕获面板进行。

 

终点指标:主要临床终点指标为CIR,次要终点指标为从CR1开始的无病生存期(DFS)和总生存期(OS)。CIR定义为从获得CR1到复发的时间,将非复发死亡视为竞争事件。DFS定义为从CR1到复发或死亡(以先发生者为准)的时间,OS定义为从CR1到死亡的时间。
 

分析计划:首先在GRAALL队列中比较了先前公布的NOTCH1/FBXW7/RAS/PTEN分层系统(NFRP)在Sanger或NGS技术的结果。然后构建了一个新的NGS分层系统。最后,我们评估了新NGS分层系统的预后影响,同时考虑了常规预后变量:WBC和MRD1,分别使用先前公布的阈值≥200x109/L和≥10-4。并在儿童队列中进行验证。
 

结 果

 

1、NGS方法确认并完善了基于Sanger的成人T-ALL中NOTCH1/FBXW7/RAS/PTEN分层系统

 

NGS分析应用于198名接受GRAALL治疗的患者。
 

NGS比Sanger具有更高的灵敏度,从而识别出先前未检测到的NOTCH1和FBXW7突变(分别为14个和7个突变)和5个N/K RAS及2个PTEN突变。

 

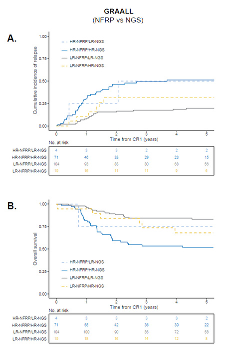
总体而言,在154例中有140例(91%)与原NFRP危险分层一致。在14例(9%)中,NGS检测改变了危险分层:5名患者根据NGS结果从低危组(LR)重新分类为高危组(HR)(RAS/PTEN异常),9名患者从高危组(HR)重新分类为低危组(LR)(N/F突变)。
 

 

在5年时,对于CIR,Sanger NFRP分层系统和NGS NFRP分层系统的ROC-AUC分别为0.670(95%CI:0.587-0.752)和0.720(95%CI:0.641-0.799);对于DFS,分别为0.656(95%CI:0.574-0.738)和0.722(95%CI:0.646-0.799);对于OS,分别为0.639(95%CI:0.553-0.725)和0.688(95%CI:0.605-0.771)。综上所述,这些数据证实,NGS方法既验证了又完善了先前基于Sanger分析的NFRP分层
 

2、成人T-ALL中基因改变的单变量预后影响

 

NOTCH1突变是最常见的突变,出现在77%的成人T-ALL患者,其次是CDKN2A改变(66%)和PHF6突变(50%)、BCL11B突变(22%)、DNM2突变(20%)和FBXW7 232突变(19%)。

 

 

在单变量分析中,仅NOTCH1/FBXW7突变(158/198例患者,80%)和PHF6改变(99/198,50%)与较低的复发风险显著相关,而影响PI3K通路(PTENAlt、PIK3CA和PIK3R1突变;36/198,18%)和IDH1/2(8/198,4%)的改变则显著增加复发风险
 

3、基于突变状态在成人T-ALL中构建了一个新的肿瘤遗传学分层系统

 

本研究使用惩罚回归模型,在 Fine 和 Gray 模型中检验了 NGS 面板 72 个基因中超过 2% 的患者的 39 个基因突变对复发风险的影响。结果表明,N/F、PHF6和EP300改变与良好的预后相关。相反,N-K-RAS、PI3K通路、TP53、IDH1/2、IKZF1和DNMT3A突变与较高的复发风险显著相关
 

至少存在一个预后良好基因且不存在预后不良基因的患者具有较低的CIR(5年CIR:21%,95%CI:14%-29%)。其他三个亚组的CIR较高:存在预后不良基因且存在/ 不存在预后良好基因的患者均具有较高的CIR(5年CIR分别为45%,95%CI:32%-57%和53%,95%CI:26%-74%),不存在预后良好基因和预后不良基因的患者也具有较高的CIR(5年CIR:50%,95%CI:19%-75%)。

 

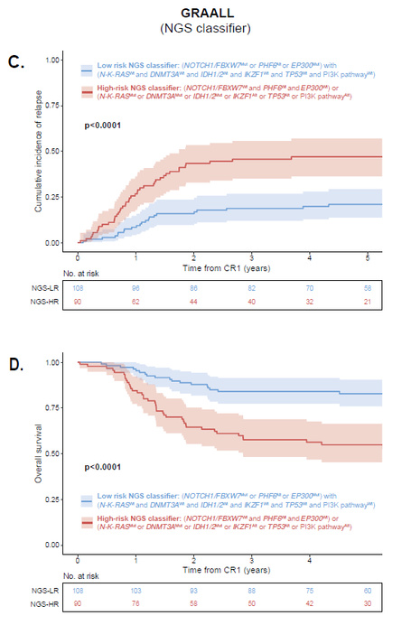
基于以上结果可构建NGS的T-ALL肿瘤遗传学分层系统,将NGS低危组(LR-NGS)患者(198例患者中的108例;55%)定义为至少具有一个预后良好基因(N/F突变、EP300突变或PHF6改变)且不存在预后不良基因(N-K-RAS突变、PI3K通路改变、IKZF1改变、TP53改变、IDH1/2突变和DNMT3A突变);其他患者均被归类为NGS高危组(HR-NGS)患者(90/198,45%)。
 

 

总体而言,在成人患者中,LR-NGS分类患者的5年CIR为21%(95%CI:14%-29%)(n=108),而HR-NGS分类患者的5年CIR为47%(95%CI:36%-57%)(n=90)(P<0.0001)。LR-NGS分类患者的5年OS为83%(95%CI:76%-90%),而HR-NGS分类患者的5年OS为55%(95%CI:45%-66%)(P<0.0001)。

 

4、基于NGS分层系统在儿童患者中的外部验证

 

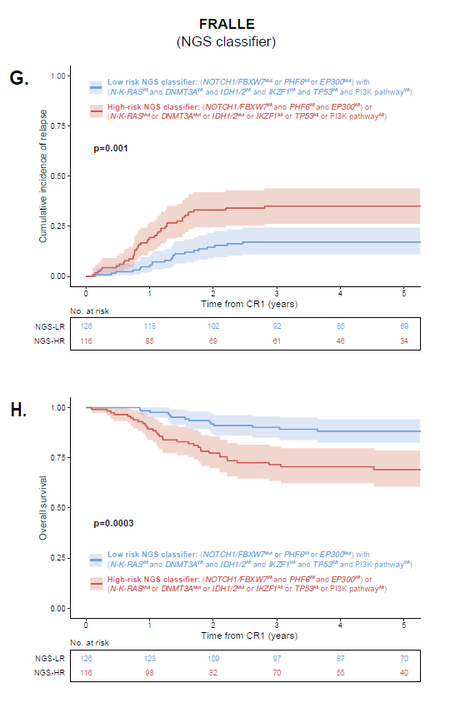
随后,本研究在242例T-ALL儿童患者的独立队列中,对该基于NGS的分层系统进行了外部验证。两组NGS分层系统中儿童患者的比例均衡:LR-NGS组126/242(52%),HR-NGS组116/242(48%)。
 

总体而言,在5年时,LR-NGS分层系统患者的CIR为17%(95%CI:11%-24%,n=126),而HR-NGS分层系统患者的CIR为35%(95%CI:26%-44%,n=116)(P=0.001)。LR-NGS分层系统患者的5年OS为88%(95%CI:83%-94%),而HR-NGS分层系统患者的OS为69%(95%CI:61%-79%)(P=0.0003)。
 

综上所述,这些数据表明,检测PHF6、EP300、DNMT3A、TP53、IKZF1、IDH1/2和PI3K通路变异为NFRP状态评估增添了重要的预后价值,并允许识别出大量(206/440,47%)预后不良的成人和儿童T-ALL患者,其中包括40/206(19%)例先前未被NFRP分层系统识别但预后与HR患者相似的患者。

 

5、基于NGS的分层结合MRD和WBC计数进一步细化CR1患者的危险分层

 

为了增强预后价值,预测CR后的预后,本研究根据Petit等的方法,将患者分为三组,即结合NGS分层系统、WBC计数和首次微小残留病(MRD1)水平进行分组:82例患者(25%)因基于高危NGS且伴有高水平WBC和/或高水平MRD1而被归类为不良预后组(CR1-ADV);107例患者(32%)因基于低危NGS且伴有低水平WBC和低水平MRD1而被归类为良好预后组(CR1-FAV);其余143例患者(43%)被视为中危(CR1-INT)

 

在5年随访中,CR1-FAV组患者的CIR为12%(95%CI:6%-19%),CR1-INT组患者的CIR为26%(95%CI:19%-33%)(与CR1-FAV组相比,SHR=2.34,95%CI:1.26-4.35,P=0.005),CR1-ADV组患者的CIR为51%(95%CI:39%-61%)(与CR1-INT组相比,SHR=2.49,95%CI:1.59-3.92,P<0.0001)。CR1-FAV组患者的5年OS为93%(95%CI:88%-98%),CR1-INT组患者的OS为81%(95%CI:75%-88%)(与CR1-FAV组相比,HR=3.63,95%CI:1.59-8.28,P=0.0008),CR1-ADV组患者的OS为53%(95%CI:43%-66%)(与CR1-INT组相比,HR=2.73,95%CI:1.68-4.43,P<0.0001)。
 

 

综上所述,完善后的NGS分层系统提高了对患者复发风险和预后的预测能力,使得临床实践中能够更准确地预测T-ALL患者的预后,并尽早临床决策提供指导,为高危的患者寻找更有效的治疗方案。

 

参考文献:Simonin Mathieu,Vasseur Loic,Lengliné Etienne et al. NGS-based stratification refines the risk stratification in T-ALL and identifies a Very High-Risk subgroup of patients.[J] .Blood, 2024.

版面编辑:张冉   责任编辑:崔沙沙
本内容仅供医学专业人士参考
相关搜索:  白血病

发表评论

提交评论
  • 相关推荐
  • 学术领域